γ単語


ニコニコ動画でγの動画を見に行く
ガンマ
  • 1
  • 0pt
掲示板へ

Γ, γ(ガンマ、英:gamma)とは、ギリシア文字の第3番の字である。

概要

ギリシア文字
Γ γ
gamma
Unicode U+0393 U+03B3
文字参照 Γ γ
α β γ δ ε ζ η θ
ι κ λ μ ν ξ ο π
ρ σ τ υ φ χ ψ ω
テンプレートボックス

関連項目

【スポンサーリンク】

  • 1
  • 0pt
記事編集 編集履歴を閲覧

ニコニ広告で宣伝された記事

ゲーム機大戦 (単) 記事と一緒に動画もおすすめ!
提供: undop-S 「ゲーム機の歴史が大体分かるシリーズ」
もっと見る

この記事の掲示板に最近描かれたお絵カキコ

この記事の掲示板に最近投稿されたピコカキコ

ピコカキコがありません

γ

1 ななしのよっしん
2016/04/07(木) 19:07:17 ID: T/fDlCJdCz
ワイワイワイワーイ!
👍
高評価
0
👎
低評価
0
2 ななしのよっしん
2017/04/30(日) 01:32:54 ID: aT6CUkOfj/
👍
高評価
0
👎
低評価
0
3 ななしのよっしん
2017/08/04(金) 19:28:43 ID: qtpOJXs2/0
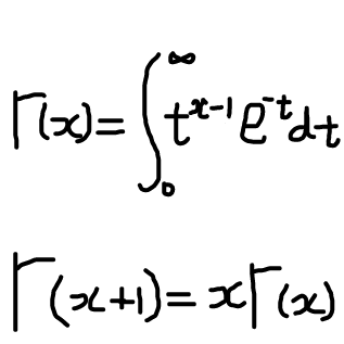
実数だけでなく、任意の複素数に対して階乗(n!)を定義できるようにした式。解析接続によって、この積分表記が一意であることが示された。
ガンマ関数
タイトル:ガンマ関数
Xで紹介する

4 ななしのよっしん
2018/11/05(月) 14:42:55 ID: P7CUokrZaW
ファンビゼンガンマていうネーミングが凄いと思った(コナミ)
👍
高評価
0
👎
低評価
0
5 ななしのよっしん
2022/03/04(金) 18:09:59 ID: acZ96Brkn2
👍
高評価
0
👎
低評価
0
6 ななしのよっしん
2022/06/24(金) 12:24:32 ID: VBjIE1V9Q5
👍
高評価
0
👎
低評価
0
7 ななしのよっしん
2025/11/21(金) 16:06:56 ID: U2lpk3Zoo7
記号ではないが、『ファイナルファンタジーVI』に出る敵。
イオ・アームドウェポン色違い
👍
高評価
0
👎
低評価
0

ニコニコニューストピックス